V posledných rokoch sa estetická astrofotografia a vedecký výskum vesmíru čoraz viac prelínajú. Skladanie množstva širokouhlých snímok získaných v úzkopásmových filtroch do extrémne dlhých expozícií umožnilo zviditeľniť doteraz nevídané vesmírne štruktúry s veľmi nízkou plošnou jasnosťou. Ide napríklad o málo jasné hmloviny, hviezdne prúdy v okolí galaxií alebo pozostatky po supernovách. Perspektívne zaujímavou oblasťou sú aj pozostatky po opakovaných vzplanutiach nov. Na rozdiel od expandujúcej obálky po ostatnom výbuchu novy sú označované ako superpozostatky po novách (Nova super-remnants).

Obr. 1. Snímka prvého známeho superpozostatku po nove M31N 2008-12a získaná na základe pozorovaní v spektrálnej čiare Hα dvojmetrovým Liverpoolským ďalekohľadom na La Palme. Najväčší rozmer zobrazenej štruktúry je v skutočnosti 134 parsekov. (Zdroj: Darnley a kol. 2019)
Trochu z histórie
Ako známy pozorovateľ premenných hviezd som si astrofotografov objektov hlbokého vesmíru žartovne doberal, že fotia machule, ktoré sa nijako nemenia. Bolo to, samozrejme, pri zachovaní náležitej úcty k ich činnosti a schopnostiam. Môj rešpekt sa prehlboval so zvyšujúcimi sa kvalitami astrofotografických techník. Veľmi pôsobivý bol objav oblúka pri galaxii M 31 slabučko žiariaceho v zakázanej emisnej čiare dvakrát ionizovaného kyslíka [OIII]. Pôvod objektu označovaného ako Strottner-Drechsler-Sainty Object 1 je dosť záhadný. Posledné zmysluplné vysvetlenie, ktoré publikoval kolektív autorov pod vedením Ogleho v roku 2025 tento objekt označuje ako prízračná planetárna hmlovina (Ghost planetary nebula). Slovenskí astrofotografi svojimi kvalitami za svetovými nezaostávajú. Na stretnutiach HAF organizovaných Hvezdárňou a planetáriom M. R. Štefánika v Hlohovci som mal možnosť vidieť výsledky činnosti tých najlepších slovenských astrofotografov a pochopil som, že tu drieme veľký potenciál.
Druhá vetva príbehu sa začala na konferencii o symbiotických hviezdach a zvláštnych novách, ktorá sa konala v júni 2024 v Prahe. V rámci programu vystúpil prof. Michael Shara a niektorí ďalší z jeho skupiny a hovorili o „Nova super-remannts“. Tento termín bol nielen pre mňa úplne nový a dodnes si ho mnohí menej pozorne počúvajúci zamieňajú s označením „Supernova remnants“ používaným pre pozostatky po supernovách. Zaujala ma však aj pozorovacia technika, s ktorou sa pokúšajú tieto slabo svietiace rozľahlé štruktúry zachytiť. Zdalo sa mi, že na tento účel by sa dali využiť spojené sily amatérskych astrofotografických aparatúr. Z rozhovoru s prof. M. Sharom si pamätám jeden kľúčový moment. Pýtal som sa ho, či by malo zmysel usilovať sa povzbudiť amatérskych astrofotografov do spoločnej kampane. Odpovedal, že najskôr ich nebudem vedieť odradiť. Ukázalo sa, že mal pravdu.

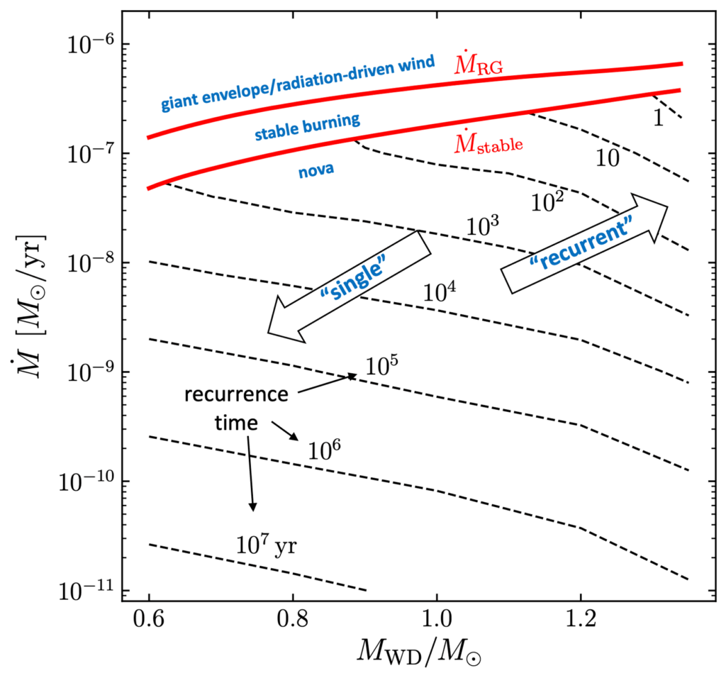
Obr. 2. Čas rekurencie vzplanutí novy v závislosti od hmotnosti bieleho trpaslíka (os x) a tempa prenosu hmoty (os y). (Zdroj: Chomiuk a kol. 2021).
Poďme však po poriadku a vysvetlime si, čo vlastne superpozostatky po novách sú. Súvisia s javom, ktorý sa označuje nova. Dnes vieme, že nejde o novú hviezdu, ale búrlivú udalosť v živote dvojhviezdy v pokročilom štádiu vývoja. Tou dvojicou je zvyčajne kataklizmatická dvojhviezda, teda biely trpaslík sprevádzaný červeným trpaslíkom v takej tesnej blízkosti, že dochádza k prenosu hmoty na bieleho trpaslíka. (Pre úplnosť dodajme, že k vzplanutiam nov dochádza aj v prípade symbiotických dvojhviezd, teda dlhoperiodických párov bielych trpaslíkov a hviezdnych obrov). Keď sa hmoty, ktorú tvorí prevažne vodík, nahromadí dostatočné veľa, môže tlak a teplota na povrchu bieleho trpaslíka dosiahnuť hodnoty postačujúce na inicializáciu termonukleárnej syntézy. Na rozdiel od reakcií v jadre hviezdy, ktoré prebiehajú dlhodobo v rovnovážnych podmienkach, v tomto prípade má proces explozívny charakter. Hmota je vymrštená do okolia rýchlosťami stoviek až tisícov kilometrov za sekundu a zároveň je uvoľnené obrovské množstvo žiarivej energie – pozorujeme vzplanutie novy.
Aj keď detaily celého procesu ešte stále nie sú úplne pochopené, z hľadiska našej kampane je dôležité, že dvojhviezda výbuch bez problémov prežije, akrécia na bieleho trpaslíka sa rýchlo obnoví a vzplanutie novy sa môže opakovať. Tisíce aj milióny krát. Ako často? To je rôzne: od desiatok po mnoho tisíc rokov. Perióda opakovania závisí predovšetkým od dvoch parametrov: od tempa prenosu hmoty a hmotnosti bieleho trpaslíka. Platí, že čím rýchlejšie preteká hmota na bieleho trpaslíka, tým skôr sa jej tam zhromaždí kritické množstvo. Zároveň je hodnota kritického množstva menšia na hmotnejšom bielom trpaslíkovi. Graficky je táto závislosť zobrazená na obr. 2. Poznáme viaceré opakujúce sa (rekurentné) novy, v prípade ktorých sme už počas histórie pozorovaní zaznamenali dva alebo viacero vzplanutí. Je však možné, že rekurenciu pod 100 rokov môžu mať aj iné novy, len predchádzajúce výbuchy pozorovatelia v minulosti nezaznamenali.

Obr. 3. Výsledky simulácií tvorby superpozostatku po nove. Pri výpočtoch boli nastavené nasledovné počiatočné parametre: hustota medzihviezdneho prostredia 1 vodíkový atóm na cm3, teplota bieleho trpaslíka 10 miliónoch kelvinov, počiatočná hmotnosť bieleho trpaslíka 1 hmotnosť Slnka, tempo akrécie 10-7 hmotností Slnka za rok, počet erupcií 1 900 750, čas evolúcie 31 miliónov rokov. Ukázalo sa, že na tvorbu superpozostatku má najväčší vplyv hustota medzihviezdneho prostredia a tempo akrécie. Ďalší poznatok získaný zo simulácií je, že hmotnosť superpozostatku je v desiatkach tisícov hmotností Slnka. Je teda tvorený prakticky kompletne pôvodným medzihviezdnym plynom a teda prevažne vodíkom. Príspevok hmoty z dvojhviezdy je zanedbateľný. (Zdroj: Healy-Kalesh a kol. 2023)
Expandujúci plyn po vzplanutí novy sa vo viacerých prípadoch podarilo zaznamenať. Pozostatky majú podobu uhlovo malých hmlovín, na detekciu ktorých sú potrebné veľké ďalekohľady. Typický príklad je na obr. 4 vľavo. Ak však zoberieme do úvahy mnohonásobné výbuchy zistíme, že v okolí ich pôvodcov sa po čase mohli vytvoriť omnoho väčšie štruktúry. Pohyb vyvrhnutého plynu je brzdený medzihviezdnym prostredím, hmota z nasledujúcich výbuchov navzájom interaguje, vznikajú nárazové vlny, plyn sa zahrieva, ionizuje a žiari.
Potvrdenie, že to tak skutočne môže byť prišlo, paradoxne, až z cudzej galaxie. Práve v M31 sa nachádza rekurentná nova s najkratším známym časom opakovania vzplanutí. Vybuchuje prakticky pravidelne každý rok. Označenie objektu M31N 2008-12a upozorňuje sa fakt, že prvé vzplanutie tejto novy bolo pozorované v roku 2008. V roku 2019 publikoval M. J. Darnley s tímom spolupracovníkov snímky získané dvojmetrovým ďalekohľadom v spektrálnej čiare vodíka Hα. Hmlovina na snímkach bola nápadne koncentrická s polohou rekurentnej novy (obr. 1). Podrobné simulácie výbuchov vykonali a publikovali M. W. Healy-Kalesh a kolektív v roku 2023 (obr. 3). Ukázalo sa, že obálka okolo M31N 2008-12a skutočne zodpovedá svojou veľkosťou superpozostatku po miliónoch vzplanutí novy. Tento objav bol motiváciou k hľadaniu podobných pozostatkov aj v okolí iných nov.

Obr. 4. Porovnanie pozostatku Novy Delphini 1967 (vľavo) na snímke z Hubblovho vesmírneho ďalekohľadu a superpozostatku po Nove Eridani 2009 (vpravo), ktorej okolie nasnímala aparatúra Condor. Objekty sú nezameniteľné vzhľadom na svoje rozmery. Pre pozorovateľov je tiež dôležité odlíšiť superpozostatok po nove od pozostatku po supernove. Existuje jednoznačné kritérium: vzhľadom na malé expanzné rýchlosti v spektrách superpozostatkov po novách absentuje zakázaná emisná čiara 2x ionizovaného kyslíka [OIII]. (Zdroj: Harman a O’Brien 2003, Shara a kol. 2024)
Tím prof. M. Sharu za týmto účelom zostrojil špeciálnu aparatúru. Tvorí ju 6 refraktorov s priemerom 180 mm vybavených CMOS kamerami, každá s iným úzkopásmovým filtrom. Všetky na jednej montáži, mieria na to isté miesto na oblohe. Aparatúra pracuje v Novom Mexiku a nazvali ju Condor. Je schopná odhaliť hmloviny s emisným spektrom s extrémne nízkou plošnou jasnosťou. Priniesla už zopár výsledkov. Z hľadiska našej kampane je najdôležitejší objav druhého známeho superpozostatku po nove v okolí KT Eri (obr. 4 vpravo). Táto premenná hviezda vzplanula ako nova v roku 2009 a hneď bola podozrivá z opakovaných výbuchov. Objav hmloviny publikovaný v roku 2024 kolektívom autorov pod vedením prof. M. Sharu zaradil KT Eri medzi rekurentné novy bez toho, žeby bol pozorovaný druhý výbuch.
Okrem toho aparatúra Condor zobrazila dve obálky okolo kataklizmatickej dvojhviezdy Z Cam, čím ju usvedčila z minimálne dvoch výbuchov novy v minulosti. Tým sa potvrdilo, že medzi vzplanutiami novy sa dvojhviezda správa ako niektorý z typov kataklizmatických dvojhviezd. V tomto prípade ide o prototyp trpasličej novy typu Z Cam. Najnovšie sa pomocou aparatúry Condor podarilo odhaliť aj obálky okolo známych rekurentných nov T CrB a RS Oph. Najnovšie sa pomocou aparatúry Condor podarilo odhaliť aj obálky okolo známych rekurentných nov T CrB a RS Oph.
Stav našej pozorovacej kampane
Svojou povahou superpozostatky po novách prirodzene spájajú oblasti záujmu astrofotografov a pozorovateľov premenných hviezd. Aj preto patronát nad kampaňou prevzali Sekcia premenných hviezd a exoplanét a Sekcia astronomickej fotografie Slovenskej astronomickej spoločnosti pri SAV a Slovenského zväzu astronómov. Pre koordináciu pozorovaní sme zriadili osobitnú webovú stránku. Do zberu dát sa prihlásili deviati astrofotografi s rôznym prístrojovým vybavením, ktoré spĺňalo stanovené kritériá. Značnú čas svojho pozorovacieho času boli ochotní venovať projektu: Karel Kolomazník, Drahomír Volný, Róbert Barsa, Pavol Kollárik, Andrej Kováč, Miloš Gnida, Martin Mančuška, Peter Jurista a Pavol A. Dubovský. Prví dvaja sa okrem toho zaoberajú aj spracovaním získaných snímok. Pri analýze dát sa ukázali ako kľúčové skúsenosti Pavla Kollárika.
Ako cieľ pilotnej kampane sme zvolili okolie Z Cam s úmyslom zistiť, či vieme zložiť snímku zobrazujúcu plošne málo jasný objekt na základe dát z rôznych prístrojov, podobne ako aparatúra Condor. Dosť dlho trvalo, kým „majstri Pixinsightu“ našli cestu ako spojiť snímky z rôznych ďalekohľadov tak, aby sa pomer signálu ku šumu zvýšil a neobjavili sa žiadne artefakty. Ale výsledok je výborný. Na obr. 5 sú zachytené aj také detaily, ktoré zostali neviditeľné na snímkach aparatúry Condor. Dokázali sme, že dokážeme spojiť amatérske prístroje minimálne rovnako dobre, ako to robia tí najlepší vo svete. Získali sme snímky s celkovým expozičným časom 378 hodín. Väčšina z pozorvaní je vo filtri H alfa, ostatné v OIII a SII.

Obr. 5. Jeden z výsledkov našej kampane zameranej na Z Cam. Snímka centrálnej časti okolia tejto kataklizmatickej dvojhviezdy, ktorá zachytáva dve expandujúce obálky z posledných vzplanutí, vznikla zložením snímok D. Volného a A. Kováča získaných vo filtri OIII pomocou ďalekohľadov Newton 350/1400 a refraktor 130/910.
V lete 2025 začala prebiehať druhá časť kampane výberom kandidátov na hĺbkové snímkovanie, pri ktorom sme museli byť veľmi dôslední. Vieme, že vo vede aj negatívny výsledok je výsledok. Ale amatérski astrofotografi by radšej získali ako produkt svojho dlhodobého úsilia niečo viditeľné. Logicky by bolo najlepšie pátrať po superpozostatkoch okolo už známych rekurentných nov. Je tu však problém: z jedenástich známych galaktických rekurentných nov len T CrB má kladnú hodnotu deklinácie. Ak chceme pozorovať nejaký objekt z našej zemepisnej šírky dlhodobo, je veľmi dôležité, aby sa nachádzal na severnej nebeskej pologuli.
Ďalšia možnosť je hľadať medzi klasickými novami, ktoré majú parametre nasvedčujúce na rýchlu rekurenciu. Túto prácu už za nás urobili A. Pagnotta a B. Schaefer, ktorí svoje zistenia publikovali v roku 2014. Zaradili sme do výberu ešte aj novy pozorované v posledných rokoch. Ako najlepší kandidát bola identifikovaná nova V838 Her, ktorej vzplanutie bolo pozorované v roku 1991. V prípade tohto objektu je však istá komplikácia v tom, že má galaktickú šírku len 6 stupňov a nachádza sa teda v jednej z hustých oblastí Mliečnej cesty, plnej svietiacich vodíkových mračien. Takáto poloha však neprekvapuje, keďže pozorované novy sa koncentrujú ku galaktickej rovine. To je dané jednoduchým výberovým efektom: pravdepodobnosť ich zaznamenania je najvyššia práve tam.
Kataklizmatické dvojhviezdy však pozorujeme všade na oblohe. Ktoré z nich by mohli byť kandidátmi na novy s rýchlo sa opakujúcimi vzplanutiami? Odpoveď je, že sú to tzv. novám podobné (nova like) objekty, ktoré sa vyznačujú rýchlym tempom prenosu hmoty. Aj v tomto prípade za nás veľkú prácu vykonali R. Gilmozzi a P. Selvelli, ktorí v roku 2024 publikovali tempo prenosu hmoty pre 42 novám podobných hviezd. Spomedzi nich sme ako zaujímavé identifikovali V363 Aur, V825 Her a V380 Oph. Aj v ich prípade sa však objavuje istý problém – vzdialenosť. Všetky tieto objekty sú bližšie ako 1000 parsekov, čo pri očakávanej veľkosti superpozostatku okolo 50 parsekov dáva príliš veľký uhlový rozmer. Pre naše aparatúry by boli vhodné objekty s uhlovou veľkosťou do jedného stupňa. V opačnom prípade by bolo potrebné snímať mozaiky, čo si vyžaduje ešte viac pozorovacieho času.
Doplnili sme teda vyhľadávanie o dva objekty, ktoré sme našli medzi novám podobnými v databáze Variable star index. V ich prípade to však bude hra na náhodu, keďže k týmto objektom je známa len ich vzdialenosť (z dát družice Gaia), orbitálna perióda a typ premennosti (z tvaru svetelnej krivky). Vari budeme mať šťastie. Zoznam objektov, na ktoré bolo zamerané letné testovacie snímkovanie je uvedený v Tab. 1.
Tab 1. Zoznam testovacích objektov našej kampane zameranej na superpozostatky po novách.

Zima a leto 2026 budú venované časti kampane, ktorej cieľom je objaviť nový superpozostatok po nove alebo aspoň limitovať jeho plošnú jasnosť. Už teraz však môžeme hodnotiť kampaň ako pozoruhodný počin slovenských a jedného moravského astrofotografa, keď dosiahnuté výsledky snímkovania okolia Z Cam prekonali aparatúru Condor. Možno ešte dôležitejšie je, že sa vytvorila aktívna komunita jednotlivcov, ktorí sa predtým len sporadicky vídali na niektorých podujatiach.
Máme však aj jedno dôležité poučenie: dlhodobé snímkovanie v stredoeurópskych podmienkach je dosť frustrujúce, keďže jasných nocí je zúfalo málo. Zber dát pre Z Cam trval vyše pol roka a pritom ďalšie dáta by boli ešte žiadúce. Jeden zo zapojených ďalekohľadov už pozoruje zo Španielska. Veľmi by pomohlo, keby sme mali viac ďalekohľadov vo vhodných klimatických podmienkach. Za týmto účelom by sme chceli vytvoriť nový teleskop hosting v južnom Španielsku so špeciálne výhodnými podmienkami pre stredoeurópskych astronómov. Aj o tomto projekte budeme v blízkej budúcnosti informovať.
Paralelne sa dá problém pozorovacieho času riešiť zvýšením celkovej zbernej apertúry zapojením ďalších prístrojov. Kampaň je otvorená pre všetkých s dostatkom trpezlivosti a nadšenia pre nové astrofotografické výzvy. Na stránke kampane sú uvedené kritériá, ktoré by pozorovacia aparatúra mala spĺňať a k dispozícii je aj formulár pre novú registráciu.
Pavol A. Dubovský
predseda Sekcie premenných hviezd a exoplanét
Slovenskej astronomickej spoločnosti pri SAV a Slovenského zväzu astronómov
Referencie:
Chomiuk, B. D. Metzger, K. J. Shen, 2021, New Insights into Classical Novae, Annual Review of Astronomy and Astrophysics, Volume 59, pp. 391-444
J. Darnley, R. Hounsell, T. J. O’Brien, P. Rodríguez-Gil, A. W. Shafter, M. M. Shara, M. Henze, M. F. Bode, R. Galera-Rosillo, D. J. Harman, J.-U. Ness, V. A. R. M. Ribeiro, N. M. H. Vaytet, S. C. Williams, 2019, A recurrent nova super-remnant in the Andromeda galaxy, Nature, Volume 565, Issue 7740, pp. 460-463
J. Harman, T. J. O’Brien, 2003, Hubble Space Telescope imaging and ground-based spectroscopy of old nova shells – II. The bipolar shell of the slow nova HR Del, Monthly Notices of the Royal Astronomical Society, Volume 344, Issue 4, pp. 1219-1226
M. W. Healy-Kalesh, M. J. Darnley, M. M. Shara, K. M. Lanzetta, J. T. Garland, and S. Gromoll, 2024, Hydrodynamic simulations of the KT Eridani nova super-remnant, Monthly Notices of the Royal Astronomical Society, 529(1), pp. 236-244
Gilmozzi, P. Selvelli, 2024, Accretion rates of 42 nova-like stars with IUE and Gaia data, Astronomy & Astrophysics, Volume 681, id. A83, 21
M. Lanzetta, S. Gromoll, M. M. Shara, S. Berg, D. Valls-Gabaud, F. M. Walter, J. K. Webb, 2023, Introducing the Condor Array Telescope. I. Motivation, Configuration, and Performance, Publications of the Astronomical Society of the Pacific, 135, 1043
Ogle, M. Petersen, T. Schaeffer, L. McCallum, A. Noriega-Crespo, M.R. Rich, B. Sebastian, C. Bjork, S. Body, S. Chinnasamy, M. Dreschsler, T. Kottary, Y. Sainty, P. Sparkman, X. Strottner, 2025, SDSO1 is a Ghost Planetary Nebula Bow Shock in Front of M31, eprint arXiv:2507.15
Pagnotta, B. Schaefer, 2014, Identifying and Quantifying Recurrent Novae Masquerading as Classical Novae, The Astrophysical Journal, Volume 788, Issue 2, article id. 164, 25
M. Shara, K. M. Lanzetta, J. T. Garland, S. Gromoll, D. Valls-Gabaud, F. M. Walter, J. Webb, A. Kniazev, et al., 2024, Introducing the Condor Array Telescope – IV. A possible nova super-remnant surrounding the putative recurrent nova KT Eridani, Monthly Notices of the Royal Astronomical Society, 529(1), pp. 224-235